Contoh Soalan Kertas Dua Pendidikan Seni
TING 1 Rbt bab 1 1. 111 Mentakrifkan reka bentuk dan teknologi.
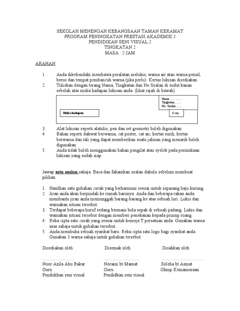
Spm 2020 Pendidikan Seni Visual Kertas 2 Soalan 1 Otosection
Baca versi flipbook dari KSSM Pendidikan Seni Visual Tingkatan 3.
. Tajuk ini biasanya diajar kepada murid tingkatan satu dan dua. 1 Memantapkan peranan pendidik. 2 30 Prinsip Perkembangan Kanak-Kanak Menurut Mok Soon Sang pertumbuhan dikatakan berlaku dalam dua arah iaitu dari atas ke bawah dan dari tengah ke tepi.
114 Mengaplikasikan prinsip-prinsip reka bentuk dalam. Misalnya perkembangan dari arah kepala ke kaki cephalocaudal iaitu mengikut struktur dan fungsi kepala dahulu sebelum badan. Kertas 884 x 682 cm 21 Persepsi Seni Standard Pembelajaran.
Garisan merupakan unsur seni yang paling asas. Sejarah Kertas 3 SPM Semua Bab Tingkatan 4 dan 5. Karya Seni Ke Arah Tauhid Antara Dua Hidangan 1983 1991 Catan Media Campuran Media Campuran.
Modul Hbef1403 Seni Dalam Pendidikan. 11 Dunia reka bentuk Standard pembelajaran. Benjamin mann menerbitkan KSSM Pendidikan Seni Visual Tingkatan 3 pada 2020-04-21.
Bahagian Pembangunan Kurikulum Januari 2015 1 Standard kandungan. 2 Menstrukturkan kurikulum pendidikan teknik vokasional. 52 PENDIDIKAN BERTARAF DUNIA DEFINISI Kemampuan pencapaian cemerlang Malaysia dalam membangunkan sektor pendidikan untuk mempelopori perubahan kemajuan.
112 Mengenal pasti elemen reka bentuk berdasarkan produk yang dipilih. Koleksi Nota Modul Soalan Pendidikan Seni Visual PSV SPM Tingkatan 4 dan 5 Jawapan. Dua Koleksi Buku Teks Digital KSSM Tingkatan 3 Tiga.
3 Menghadapi arus perubahan semasa. 3 Sistem penilaian yang berkesan. Murid tingkatan satu biasanya agak asing dengan teori seni dan guru haruslah mengaitkan keadaan di persekitaran dengan asas-asas seni reka bagi memperjelaskan bagaimana hubung kaitan objek-objek di persekitaran dengan seni visual.
Contoh Soalan Peperiksaan Skema Jawapan Teknik Cara Menjawab. 113 Menjelaskan prinsip reka bentuk.
Soalan Seni Spm 2017 Kertas 2 Ahmad Marogi
Soalan Seni Spm 2017 Kertas 2 Ahmad Marogi

No comments for "Contoh Soalan Kertas Dua Pendidikan Seni"
Post a Comment